你的位置:炒股杠杆操作_炒股杠杆官网_实盘股票杠杆开户 > 实盘股票杠杆开户 > 正规的配资公司有哪些 “发了”!不少大学生晒朋友圈、小红书……
发布日期:2025-03-14 22:20 点击次数:126

当“第一批回家的大学生已被嫌弃哭”正规的配资公司有哪些
成为热点话题
有学生表示,为免遭父母嫌弃
开始主动做家务“维系感情”
而不少天津大学的同学
却收到了一份“爸妈开心证”
寒假初
就有不少天大学生发帖问
“今年还发喜报吗?”
这两天
有同学已晒出这份“硬核年货”
分享“天大的喜悦”
为激发学生进取精神
在学子过年回家之际
天津大学为
获2023-2024学年本科生国家奖学金、
本科生国家励志奖学金、
研究生国家奖学金、
天津大学优秀学生标兵奖学金
和天津大学自强之星奖学金的学生
邮寄喜报到家
承包学生的朋友圈、小红书
“流量密码”算是被天大拿捏了
此前,天津大学的学霸们
和自己的道旗合影的帖子
就在网上引起热议
据了解,今年的喜报近一千份
覆盖全国31个地区
喜报中,天津大学学生资助管理中心
向杰出学生家长致贺
这份喜报也
因此被称为“爸妈开心证”
收到“奖状”的家长们
内心无比骄傲与自豪
朋友圈的点赞量也是“亮点”
环境学院贾若愚同学家人分享
一封封手写的感谢信
在这个“数字时代”,显得格外真诚!

环境学院戚润涵同学家人发来感谢信

环境学院朱钰辰同学家人发来感谢信

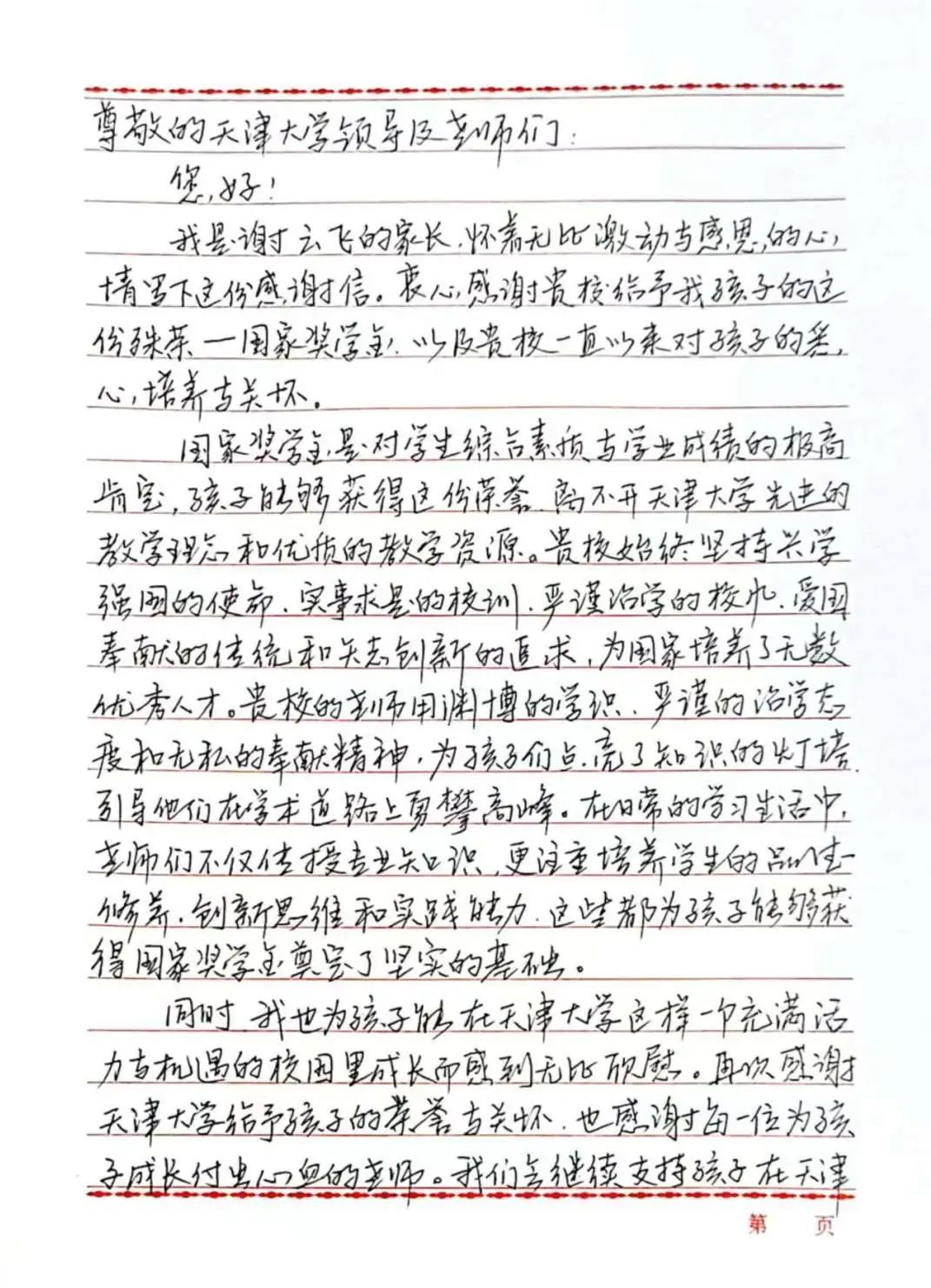
智算学部谢云飞同学家长发来感谢信
新春将至
喜报如春风拂面暖心
天津大学寄语同学们
你不负青山,青山定不负你
这个学年,你收到了哪些荣誉
欢迎来晒
来源:中国青年报综合天津大学正规的配资公司有哪些
Powered by 炒股杠杆操作_炒股杠杆官网_实盘股票杠杆开户 @2013-2022 RSS地图 HTML地图